7.2 Изгиб Круга
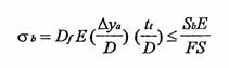
Напряжение изгиба которое образуется в результате максимального позволяемого спада вертикальной трубы, не должно повышать количества, вычисленный путем деления долгосрочного сопротивления изгиба круга на определенный фактор безопасности. Это необходимость вычисляется с помощью ниже указанной формулы:
Согласно основания напряжения (5):

Согласно основанию растяжения (6):

Здесь:
σb = Максимальное напряжения круга от спада , psi
D f = Фактор фигуры, (без единицы) указанный в Таблице-1.
E = Модуль гибкости изгиба круга, psi
Δya = максимальный позволяемый уровень долгосрочного спада трубы, дюйм
Sb = Долгосрочное напряжение изгиба круга
(ANSI/AWWA C950), дюйм
D = средний диаметр трубы, дюйм
FS = Фактор безопасности, 1,5
εb = Максимальное растяжения круга от спада, дюйм/дюйм
tt= t+tL, дюйм
7.2.1 Фактор фигуры Df
Фактор фигуры имеет отношения к напряжению спада трубы или к растяжению спада трубы и является одним из функций жесткости трубы, уровень уплотнения дополнительного материла трубы, натурального особенностей грунта и уровня спада.
В Таблице -1, число Df указан на основании нижнего дополнения неровной трубы, 2-3% нормы спада, по нормам уточнения широту котлована на натурально стабильной основе или натурально непрочной основе.
Таблица l – Факторы фигуры
Дополнительный материал области трубы и уровень уплотнения
Жесткость трубы |
Гравий (1) |
Песок (2) |
|||
Мало или нет (3) |
Средний–высокий (4) |
Мало или нет (3) |
Средний –высокий (4) |
||
Psi |
kPa |
Фактор фигуры Df |
|||
| 9 | 62 | 5,5 | 7,0 | 6,0 | 8,0 |
| 18 | 124 | 4,5 | 5,5 | 5,0 | 6,5 |
| 36 | 248 | 3,8 | 4,5 | 4,0 | 5,5 |
| 72 | 496 | 3,3 | 3,8 | 3,5 | 4,5 |
1) GW, GP, GW-GC, GW-GM, GP-GC и GP-GM (Согласно классификации ASTM D2487 – дробленный гравий тоже включается в эту классификацию).
2) SW, SP, SM. SC, GM, и GC или их смеси (Согласно классификации ASTM D2487).
3) Плотность проктора <85% (ASTM D698), относительная плотность <40% (ASTM D4253 и D4254).
4) Плотность проктора ³ 85% (ASTM D698), относительная плотность ³40% (ASTM D4253 и D4254).
Числа, указанные в Таблице-1, относятся к дополнительным материал области трубы которые используются очень часто. Если применяется другой дополнительным материал области трубы тогда используйте самое большое число, данное для жесткости каждой трубы.
7.2.2 Долгосрочное напряжение изгиба круга Sb.
Долгосрочное напряжение изгиба круга, может быть разным по отношению разнообразия использованных материалов и типу производства. Долгосрочное напряжение изгиба круга, должно быть установлено согласно Стандартам ANSI/AWWA C950.
7.2.3 Фактор безопасности изгиба.
Для надежного установления трубы против изгиба надо иметь ввиду два важных фактора безопасности.
Прежде всего, необходимо сравнить начальный уровень спада в момент ломания и максимальной позволяемый уровень долгосрочного спада трубы при прокладке. Испытание жесткости трубы указанное в Стандарте ANSI/AWWA C950 (уровень Б), оставляет круг трубы под большим числом спада которое позволяется в нормальном использовании.
Согласно начального числа спада в испытании необходимо выбрать минимум 2,5 фактор безопасности.
После этого необходимо проверить сопротивление долгосрочного напряжения или растяжения изгиба. Для установки стеклопластиковые трубы фактор безопасности 1,5.
7.3 Спад
Вовремя подземного приклада труб, необходимо обратить внимание чтобы число диаметра трубы измеренный по вертикали, не был меньше числа указанных ниже:
• Как указано в Пункте 7.2, максимальный позволяемый долгосрочный спад трубы по вертикали рассчитанный инженером (Δya / D )
• Долгосрочный спад, разрешенный производителем (δd / D )
Эту необходимость можно объяснить так (7):
Здесь (8):

(Δy / D )= максимальный позволяемый долгосрочный спад трубы по вертикали
dl = Фактор износа, без единицы (смотрите Пункт 7.3.3)
Wc = Вертикальная нагрузка грунта на верхней части трубы, psi (Смотрите Пункт 7.3.5)
WL = Дорожная нагрузка на верхней части трубы, psi (Смотрите Пункт 7.3.6)
Kx = Коэффициент приклада, (без единицы) (Смотрите Пункт 7.3.4)
PS = Устойчивость трубы lb/in/in, psi (Смотрите Пункт 7.3.7)
E’ = Модуль соединительных реакций
7.3.1 Расчет спада. При установке стеклопластиковых труб рассчитанный учитывая меры указанные в Пункте 7.3, необходимо указать что максимальный «предполагаемой спад трубы» (Δy / D ) рассчитанный согласно Пункта 7.2. не превышает (Δya / D ) позволяемый долгосрочный спад трубы по вертикали.Но при расчетах установки необходимо использовать число долгосрочного спада указанное производителем. (δd / D )
7.3.2 Определения спада. Вовремя подземного приклада во всех гибких трубах можно установить спад (уменьшения диаметра по вертикали). Объем спада, нагрузка грунта, нагрузка дорожного движения уровня уплотнения дополнительного материла трубы, натуральные особенности грунта и уровень компакции являются функциями жесткости трубы.. Существует много теорий для определения спада. Но вместе с тем не надо забывать что вовремя реальных работ в области результаты могут быть другими. Причиной этого являются условия приклада которые не соответствуют плану. Эти разнообразия образуется от использования разных методов, материалов и оборудования вовремя установки.
