Таблица 5
Модуль реакции дополнительного материала в области трубы, E’h |
|
||||||||
Категория жесткости дополнительного материала в области трубы |
Описание |
Не уплотненный
|
Легкий < 85% Проктор < 40% Относительная плотность |
средний 85-95% Проктор 40-70% Относительная плотность |
Высокий > 95%Проктор > 70% Относительная плотность |
|
|||
SC5 |
Мелко грунтовые основания частого уплотнения Основания в группе классификации (CH,MH,OL,OH,PT), или классификации указаны двойными символами (CH/MH). |
Натуральные основания в этой категории которые будут использованы как дополнительный материал в области трубы должны быт подвергнуты к тестам чтобы уточнить количество влаги и необходимой энергии компакции. |
|
||||||
SC4 |
Мелко грунтовые основания которые содержат меньше 30% грубого грунта, (CL,ML,ML-CL)со средним уровнем пластичности или без пластичности которые в группе классификации начинаются с этими (ML/CL) двойными символами. |
50 (0,34) |
200 (1,4) |
400 (2,8) |
1000 (6,9) |
||||
SC3 |
Мелко грунтовые основания которые содержат больше 30% грубого грунта, (CL,ML,ML-CL)со средним уровнем пластичности или без пластичности которые в группе классификации начинаются с этими (ML/CL) двойными символами. Грубо грунтовые основания которые содержат 12% или меньше мелкого грунта (GW,GP,SW,SP,GW,GC,SP-SM) или основания в группе классификации указаны этими символами или основания с двойными символами. |
100 (0,69) |
400 (2,8) |
1000 (6,9) |
2000 (13,8) |
||||
|
|
|
|
|
|||||
SC2 |
Грубо грунтовые основания которые содержат 12% или меньше мелкого грунта (GW,GP,SW,SP,GW,GC,SP-SM) или основания в группе классификации указаны этими символами или основания с двойными символами. |
200 (1,4) |
1000 (6,9) |
2000 (13,8) |
3000 (20,7) |
||||
SC1 |
содержащий меньше15% песка, максимум 25% I, мелкий гравий который содержит максимум 5% мелкого грунта, сетка с размером 3/8 дюймов.
|
1000 (6,9) |
3000 (20,7) |
3000 (20,7) |
3000 (20,7) |
||||
Здесь:
FSpr = Фактор безопасности напряжения, 1,8
FS b = Фактор безопасности изгиба, 1,5
σpr = Напряжения эксплуатации от внутреннего давления, psi
σb = Максимальное напряжения круга образованный от спада , psi
rc = Коэффициент повторного кругообразования (без единицы)
![]()
εpr = Растяжения эксплуатации от внутреннего давления, дюйм/дюйм
![]()
εb = Максимальное растяжения круга образованный от спада, in/in, (mm/mm)
.
δd = Максимально позволяемый спад установленной трубы, in
Таблица 6
Модуль природной реакции грунта на уровне трубы, E'n |
||||
Природные основания |
||||
Количество ударов/ft |
Описание |
qu(tons/ft^2) |
Описание |
E'n (psi) |
>0-1 |
экстра свободный |
>0-0,125
|
Экстра мягкий |
50 |
1-2 |
Очень свободный |
0,125-0,25 |
Очень мягкий |
200 |
2-4 |
|
0,25-0,50 |
Мягкий |
700 |
4-8 |
Свободный |
0,50-1,0 |
Средний |
1.500 |
8-15 |
Мало обтянутый |
1,0-2,0 |
Тугой |
3.000 |
15-30 |
обтянутый |
2,0-4,0 |
Очень тугой |
5.000 |
30-50 |
Плотный |
4,0-6,0 |
Грубый |
10.000 |
>50 |
Очень плотный |
>6,0 |
Очень грубый |
20.000 |
Заметка: Для жесткого камня E'n = 50.000 (psi).
7.5 Изгиб
7.5.1 Теория изгиба. Подземно прокладные трубы, внешняя вертикальная нагрузка, если возможно гидростатическое давление подземных вод и радиол, который состоит из внутреннего вакуума, могут остаться под давлением внешних нагрузок. Внешняя давление, которое может изгибать трубу, больше чем давление, которое может изгибать трубу в жидкой среде.
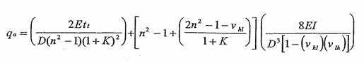
7.5.2 Расчеты изгиба, должен быть равен или меньше чем позволяемое давление изгиба внешних нагрузок, позволяемое давление изгиба qa,определяется с помощью следующего уравнения (21)
Здесь:
qa = давление позволяемого изгиба, psi
FS = фактор безопасности, 2,5
Rw = Фактор подъема воды, определяется следующем образом:
Rw = 1-0,33 (hw/h); 0 £ hw £ h
Здесь:
hw = Глубина раскопа от верней части трубы, дюйм. (mm)
h = Уровень подводной воды над трубой, дюйм
Bt = Коэффициент эмпиричного эластического упора (без единицы)
определяется следующем образом

Здесь:
H = Глубина раскопа от верней части трубы, ft (m)
E' = Модуль соединительных реакций, psi (смотрите уравнение №16)
Заметка : Умножение № 21действителен в следующих условиях:
Если нет внутреннего вакуума: 2ft £ H £ 80ft
При внутреннем вакууме: 4ft £H £80ft
При образовании внутреннего вакуума в глубинах раскопа меньше 4ft и больше чем 2ft , число qa указанный в уравнении № 22, может быт определен по формуле von Mises.
Глубина раскопа 2ft – 4ft образует дополнительный фактор безопасности 2,5 выше рекомендованной нормы. Толщина трубы для 2ft - 4ft, определяется с помощью уравнения №23.
Формула von Mises указан ниже (22).
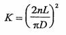
Здесь:
n = Количество дуга образованный при сгибе ³ 2
(число n дает число qa методом испытания)
Vhl = Коэффициент деформации под напряжением круга
Vlh = Коэффициент деформации в длину

Здесь:
L- Расстояние между добавочными местами, дюйм
Заметка: В трубах без риба L, расстояние между местами соединения как фланг или фаншон.
При типичной установке трубы: Критерии изгиба определяется следующим образом (23):
Здесь:
g w = Удельный вес воды, (0,0361lb/in3). Lb/in3
Pv = Давление внутреннего вакуума (= атмосферное давление полное давление в старой трубе), psi
В некоторых случаях, дополнительно к стабильным нагрузкам, можно включить в расчет дорожную нагрузку. Вместе с тем, не стоить определять эффект внутреннего вакуума и дорожной нагрузки. Если дорожная нагрузка включается в расчет, критерия изгиба определяется с по следующей формуле (24):
